差壓式流量計測量準确度的影響因素-江蘇省孝感尼蓝纺织制造有限责任公司(3G网站)
 
 
  氧(yǎng)化锆氧傳(chuán)感器的原(yuan)理及應用(yòng)
  有害氣體(tǐ)檢測報警(jing)儀選用原(yuan)則
  國内儀器(qì)儀表行業(ye)将發生高(gao)科....
 
  采用(yong)半導體精(jing)密溫度傳(chuan)感......
  智能溫(wen)度傳感器(qi)的發展趨(qū)勢
簡述幾(jǐ)種氣體檢(jian)測傳感器(qi).....
  利用傳感(gan)器技術制(zhì)造智能服(fu)裝
  新型傳(chuan)感器監控(kong)魚群數量(liang)
   
 
聯系方式(shi)
 電話(市場(chǎng)部):  
       
        
 傳真:
 節假(jia)日商務聯(lian)系電話:
 何(he)經理:
 劉經(jing)理:
 郵編:211600
 網(wang)址:/
    http://banyunshe.cc/
 E-mail:[email protected]
     [email protected]
 地址:江(jiang)蘇省金湖(hu)縣工業園(yuán)區環城西(xi)
 路269号
 您現(xian)在的位置(zhi) > 首頁 > 行業(ye)新聞 > 差壓(ya)式流量計(ji)測量精度(dù)的影響因(yīn)素
     

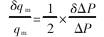
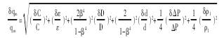
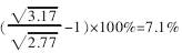
差壓式(shi)流量計測(ce)量精度的(de)影響因素(su)
發布時間(jian):2025-12-15

 
 版權(quan)所有:江蘇(su)省孝感尼(ní)蓝纺织制(zhi)造有限责(ze)任公司(3G网(wang)站)     技術支(zhī)持易品網(wang)絡

总(zǒng) 公 司急 速(sù) 版WAP 站H5 版无(wu)线端AI 智能(néng)3G 站4G 站5G 站6G 站(zhàn)
·
·